Skip to content
a
a
Materiaalipankki
Materiaalitilaukset
A-kassa
Soppi
Luottamushenkilöiden asiointi
a
a
Työelämä
Takaisin
Yleistä työelämästä
Työehtosopimukset
Luottamusmies
Työsuhteen ongelmatilanteet
Teollisuusliiton Hermes -sovellus
Kemian sektorin ajankohtaista
Teknologiasektorin ajankohtaista
Puutuotesektorin ajankohtaista
Teollisuusliiton voittamia oikeustapauksia
Työympäristö ja työsuojelu
Työelämän kehittäminen
Työympäristö
Työsuojeluvaltuutettu
Työsuojelun yhteistoiminta
Työsuojelukoulutus
Tasa-arvo ja yhdenvertaisuus
Työtapaturma ja ammattitauti
Työterveyshuolto
Perhevapaat
Sosiaali- ja eläketurva
Työsuhteen ABC
Työsopimusasiat
Työehtosopimus
Verokortti
Perehdytys
Vuokratyö
Vuosiloma
Töiden päätyttyä
Tutustu myös
Liity jäseneksi
Ajankohtaista
Esimerkkejä oikeustapauksista
Materiaalitilaukset
Työnhakuvalmennus
Jäsenyys
Takaisin
Liity jäseneksi
Yleistä jäsenyydestä
Liity jäseneksi
Jäsenmaksu
Sähköinen asiointi
Työttömyyskassa
Ammattiosastot
Työnantajalle
Nuoret
Palvelut ja edut
Työehtosopimukset
Jäsenedut
Oikeusapu
Koulutukset
Mobiilijäsenkortti
Työnhakuvalmennus
Tutustu myös
Liity jäseneksi
Sähköinen liittymislomake eri kielillä
Ajankohtaista
Jäsenkortista usein kysytyt kysymykset
Materiaalitilaukset
Osallistu
Takaisin
Osallistu
Tietoa koulutuksista
Ajankohtaista koulutuksesta
Viikonloppukoulutus alueilla
Murikan opistokoulutus
Ammatillinen koulutus
Koulutuksen matkustusohjeet ja matkakulukorvaukset
Koulutussopimukset ja -oikeudet
Teollisuusliiton stipendi
Puurtaja-diplomi
Teollisuusliiton tapahtumat ja koulutukset
Opinto-opas
Ryhdy Teollisuusliiton jäsenlähettilääksi!
Ammattiosastojen toiminta
Tutustu myös
Työnhakuvalmennus
Teollisuusliiton stipendi
Puurtaja-diplomi
Materiaalitilaukset
Ajankohtaista
Takaisin
Ajankohtaista
Uutiset
Tutustu myös
Liity jäseneksi
Teollisuusliiton tapahtumat ja koulutukset
Ammattiosastojen tapahtumat
Materiaalitilaukset
Liitto
Takaisin
Teollisuusliitto
Ammattiosastot
Liiton valtuusto
Liiton hallitus
Jaostot
Sektorijohtokunnat
Säännöt
Liiton strategia ja arvot
Liiton toiminta
Teollisuusliitto tutkii
Kansainvälinen toiminta
Teollisuusliitossa avoinna olevat työpaikat
Vaikuttaminen
Teollisuusliiton lausunnot
Teollisuusliiton EU-vaalitavoitteet
Tavoitteet eduskuntavaalikaudelle 2023–2027
Teollisuuspoliittinen ohjelma
Teollisuusliiton jäsentutkimus 2023
Yhteystiedot
Mihin palvelunumeroon soitan?
Medialle
Anna palautetta
Materiaalitilaukset
Tietosuoja
Tutustu myös
Liity jäseneksi
Ajankohtaista
Materiaalitilaukset
Haku
Materiaalipankki
Materiaalitilaukset
A-kassa
Soppi
Luottamushenkilöiden asiointi
eAsiointi
Yhteystiedot
Hae:
Hae
Etusivu
-
Materiaalipankki
-
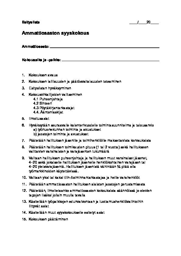
Liite 07. Ammattiosaston syyskokouksen esityslista
Tulosta
Jaa
Liite 07. Ammattiosaston syyskokouksen esityslista
Liite 07. Ammattiosaston syyskokouksen esityslista
Ammattiosastot
Oppaat ja ohjeet
Ammattiosastojen aktiivit
Lataa tiedosto
pdf
Suomi
Ruotsi
Palaa materiaalipankkiin
Osoite kopioitu leikepöydälle
(The link has been copied to your clipboard.)
Linkki kopioitu leikepöydälle
Linkin kopiointi epäonnistui
Teollisuusliitto